| 一、资料统计方法和曲线描绘分析 | 《预防医学》 |
一、资料统计方法和曲线描绘分析例23.3某单位用甲、乙两法治疗何杰金病。甲法治疗15例中已复发9例;乙法治疗14例,有4例复发。两组随访情况如表23-3。 先以甲疗法为例说明不同随访时期的缓解率及其标准误。演算结果如表23-4。 表23-4 甲、乙两法治疗何杰金病随访天数
尚未复发者随访天数后加“+”号,表明缓解天数至少多于随访天数 表23-4 甲疗法治疗何杰金病不同时期缓解率计算
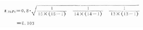
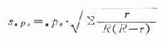
1.按随访天数从小到大依次排列,如遇复发者天数和未复发者随访天数相同时,以复发者排在前面。 2.填写不同随访天数的复发例数及期初病例数如表23-4的(3)、(4)栏。 3.求出不同随访天数的复发概率qx(复发例数÷期安病例数)和缓解概率px(1-qx)如(5)、(6)栏。 4.根据公式(23.6)求出累计缓解概率np0如(7)栏。 5.按下式求不同时点累计缓解率的标准误。
本例173天时点累计缓解率的标准误:
同法可以求得乙疗法的累计缓解率及其标准误,学者试自演算求解。 6.缓解率曲线描绘以横轴为随访天数(n),纵轴为累计缓解率(np0),将两疗法的演算结果各点的坐标准确标出,然后将各点向右连成与横轴平行的阶梯形,得出两组缓解曲线如图23-1。可以看出乙疗法累计缓解率水平始终在甲法之上。
图23-1 甲、乙疗法累计缓解率的比较
| |||||||||||||||||||||||||||||||||||||||||||||||||||||||||||||||||||||||||||||||||||||||||||||||||||||||||||||||||||||||||||||||||||||||||||||||||||||||||||||||||||||
返回目录 |