二、1:1配比病例对照资料分析《预防医学》

二、1:1配比病例对照资料分析

在病例对照研究中,常常应用配比方法,即将病例与对照按1:1或1:R配成对,在调查或分析时均将此一组病例和对照作为一组而不要拆开。配比对照的目的是排除混杂因素的影响。

(一)资料整理构架

将资料按下列格式整理(表29-4)。

(二)显着性检验

检验暴露史是否与疾病有联系。

表29-4 配比病例对照研究资料整理构架

对照病例合计(配比数)
有暴露史无暴露史
有暴露史aba+b
无暴露史cdc+d
合计(配比数)a+cB+da+b+c+d=T

(29.4)

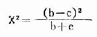
其校正公式为

公式(29.5)

自由度=1

(三)计算比值比OR

OR=c/b 公式(29.6)

(四)计算比值比的可信限

公式(29.7)

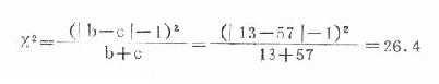
实例Sartwell等研究了美国口服避孕药与妇女患血栓栓塞的关系。共调查了175对病例与对照。对象是在1964~1968年从五个美国城市选择的15~44岁妇女,并以1:1配对方法选择对照。然后调查她们在入院前一个月内是否使用避孕药,其调查结果见表29-5。

表29-5 口服避孕药史与血栓栓塞关系的配对研究

对照病例共配对数
有用避孕药史无用避孕药史
有用避孕药史101323
无用避孕药史5795152
共配对数67108175

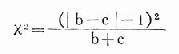
1.X2检验

自由度=1P<0.001

2.计算比值比OR

OR=c/d=57/13=4.4

3.计算OR95%可信限

故OR95%可信限为2.5~7.6

以上结果说明,所研究的美国某种避孕药暴露史与妇女患血栓栓塞有联系。其比值比95%可信限为2.5~7.6。

上一页:一、成组病例对照资料分析
当前页:二、1:1配比病例对照资料分析
下一页:一、病例对照研究中常见的偏倚

返回目录