二、多个率或多个构成比的比较《医学统计学》

二、多个率或多个构成比的比较

(一)2×K表的专用公式,前面已讨论了,两个率的比较用四格表专用公式计算χ2值较为简便。如果是多个率比较,就要列成2×K表。这里的K暂为所比较的组数,2为每个组内所划分的类型数。求χ2值时本可用基本公式计算,但以用下列专用公式为便:

(3.10) (3.11)

表3.9 2×K表形式之一

a1
a2

b1
b2

n1
n2

∑ai∑biN

公式中符号的意义参阅表3.9,以上两个公式的计算结果是完全一样的。

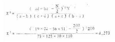
例3.3 某地观察磺胺三甲氧吡嗪加增效剂(吡嗪磺合剂)预防疟疾复发的效果,用已知有抗疟疾复发效果的乙胺嘧啶和不投药组作对照,比较三组的疟疾复发率,资料如表3.10,问三组复发率有无显著差别?

表3.10 三个组的疟疾复发率

组 别观察例数复发例数复发率(%)
吡嗪磺合剂
乙胺嘧啶
对 照
1996
473
484
76
27
53
3.81
5.71
10.95
合 计29531565.28

χ2检验步骤如下:

1.将表3.10资料写成2×K表形式,见表3.11。注意:这里必须把各组的观察例数分为复发和未复发两部分,这样表3.10就为写成2×3表。

表3.11 三个组疟疾复发率的比较

 复发未复发合 计
吡嗪磺合剂7619201996
乙胺嘧啶27446473
对 照53431484
合 计15627972953

2.H0:三个总体复发率相同

H:三个总体复发率不全相同

α=0.05

3.求χ2值 将表3.11的数值代入式(3.10)(因为在表3.11中,各组的a值较小,计算较方便)得:

4.求自由度,确定P值,作结论

ν=(K-1)(2-1)=(3-1)(2-1)=2,查χ2值表得χ20.01(2)=9.21,本例χ2=39.92>χ20.01(2),P<0.01,在α=0.05的水准处拒绝H0,接受H1,即三个组的复发率有显著差别。

本例的结论是三个组的复发率有显著差别,因此,还需进一步说明三组中那两组有差别,可用四格表对每两个率进行假设检验。本例的检验结果是:吡嗪磺合剂与对照组比(P<0.01),乙胺嘧啶组与对照组比(P<0.01),而吡嗪磺合剂与乙胺嘧啶比(P>0.05),说明吡嗪磺合剂有预防疟疾复发的作用,其效果不低于乙胺嘧啶。

本例2×K表的2是指得发、未复发两项,K为比较的组数,K=3。如果比较组数只有2,而构成每组的项数则多于2,如甲状腺肿的型别构成可分为弥漫型、结节型、混合型三种。这类资料亦同样可用2×K表专用公式进行检验。这时把2作为比较组数,K作为项数,检验方法同上,表3.12是2×K表的另一种形式。

表3.12 2×K表形式之二

a1a2……∑ai∑bi
b1b2……
n1n2……N

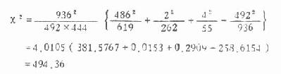
例3.4,为研究不同地域甲状腺型别的构成有无显著差别,某省对两个县的居民进行甲状腺肿调查,得资料如表3.13,问甲乙两县各型甲状腺肿患者构成比有无显著判别?

表3.13 某省甲乙两县甲状腺肿患者型别构成比较

县名弥漫型结节型混合型合计
甲县48624492
乙县13326051444
合计61926255936

检验步骤如下:

1.H0:两总体甲状腺肿型别构成相同

H1两总体甲状腺肿型别构成不同

α=0.05

2.求χ2值, 将表3.13中的数值代入式3.10得:

3.求自由度,确定P值,作结论。

ν=(3-1)(2-1)=2,查χ2值表得χ20.01(2)=9.21,本例,χ2=494.36,P<0.01,在α=0.05水准处拒绝H0,接受H1,甲、乙两县甲状腺肿型别构成有差别(P<0.01)。甲县以弥漫型为主,而乙县结节型较多,地域与患者的型别构成具有一定的关系。

此类资料经χ2检验作结论,如果不显著,说明两组资料的构成比来自同一总体,没有显著差别。如果结论显著,说明两组的构成比来自不同总体,差别有显著性。同时要指出两组构成的主要区别。

(二)R×C表的通用公式当资料的行数和列数都超过2时称R×C表。对此种资料作假设检验时,可用基本公式(3.5),但运算较繁,如果用R×C表的通用公式计算χ2值,较为简便。

      (3.12)

式中,Aij为i行第j列的实际频数,ni为第i行的合计数,nj为第j行列的合计数,N为总频数。

这个公式也系由基本公式(3.5)推导出来,式(3.12)也可用以求四格表、2×K表资料的X2值,故称通用公式,用此公式不需计算理论频数,与基本公式(3.5)相比,较为简便。

例3.5某院肝胆外科在手术中观察了胆结石的部位与类型得资料如表3.14,试分析两者间有无关系存在?

表3.14 胆结石类型与部位的关系

结石部位总例数例 数百 分 比
胆固醇结石胆红素结石其它胆固醇结石胆红素结石其它
胆囊11870163259.313.627.1
肝外胆管7512392416.052.032.0
肝内胆管2922076.969.024.1
合计22284756337.833.828.4

检验步骤如下:

1.将表3.14资料写成R×C表形式,见表3.15.

表3.15 胆结石类型与部位的关系

结石部位结 构 类 型
 胆固醇结石胆红素结石其它合计 
胆囊701632118 
肝外胆管12392475 
肝内胆管220729 
合计847563222 

2.H0:胆结石的类型与部位没有关系

H1:胆结石的类型与部位有关系

α=0.01

3.求χ2值 将表3.15数值代入式(3.12)得:

4.求自由度,确定P值,作结论。

ν=(3-1)(3-1)=4,查χ2值表得χ20.01(4)=13.28,本例χ2=64.06<χ20.01。在α=0.01水准处拒绝H0,接受H1,胆结石类型与部位有显著关系存在(P<0.01),胆囊内以胆固醇结石居多,肝内、外胆管以胆红素结石为主。

上一页:一、两个率的比较
当前页:二、多个率或多个构成比的比较
下一页:第二节 X2检验的注意事项