| (二)正常值范围估计 | 《预防医学》 |
(二)正常值范围估计计算正常值百分界值的方法甚多,如正态分布法、对数正态分布法、正态概率纸法、百分位数法、曲线拟合法、容许区间法等。现以95%正常值范围为例,主要介绍以下三种。 1.正态分布法:适用于正诚或近似正态分布资料。 双侧界值:x±1.96s 单侧上界:x+1.645s 单侧下界:x-1.645s 2.对数正态分布法:适用于对数正态分布资料。 双侧界值:lg-1(xlgx±1.96slgx) 单侧上界:lg-1(xlgx+1.645slgx) 单侧下界:lg-1(xlgx-1.645slgx) 3.百分位数法:常用于偏态分布资料。 双侧界值:P2.5和P97.5 单侧上界:P95 单侧下界:P5 例18.13 试估计表18-1中110名20岁健康男大学生身高的95%正常值范围。 该指标计算双侧界值 x±1.96s=172.73±1.96×4.09 该指标的95%正常值范围为 164.71~180.75(cm) 例18.14 某年某市调查了200例正常成人血铅含量(μg/100g)如下,试估计该市成人血铅含量95%正常值范围单侧上界。
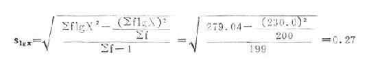
该资料为偏态分布,经对数变换(即原始数据取对数)后,整理成频数表,见表18-5。从频数分布看,近似正态分布,计算对数形式的均数与标准差,得: xlgx=Σflgx/Σf=230.0/200=1.15
其95%正常值范围的单侧上界为lg-1xlgx+1.645slgx)=lg-11。5942=39(μg/100g) 即该市正常成人血铅含量的95%正常值为39μg/100g以下。 例18.15 试用百分位数法估计例18.14资料的95%正常值的单侧上界。 该资料不经对数转换时为偏态分布,也可用百分位数法估计。先整理成频数表,见表18-6。 P95=L+i/f95(n×95%-ΣfL)=38+5/7(200×95%-189)=38.7(μg/100g) 表18-5 200名血铅值对数变换后的频数表及gx slgx计算表
表18-6 200名血铅值频数表及P95计算表
|
返回目录 |