2. 排列
[选排列] 从n个不同的元素中,每次取出k个(k≤n)不同的元素,按一定的顺序排成一列,称为选排列.其排列种数为
![]()
[全排列] 从n个不同的元素中,每次取出n个不同的元素,按一定的顺序排成一列,称为全排列.其排列种数为
![]()
[有重复的排列] 从n个不同的元素中,每次取出k个元素(k≤n),允许重复,这种排列称为有重复的排列.其排列种数为
![]()
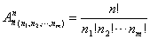
[不尽相异元素的全排列] 如果在n个元素中,有n1个元素彼此相同,又有n2个元素彼此相同,L ,又有nm个元素彼此相同(n1+n2+L +nm=n),那末这n个元素的全排列称为不尽相异元素的全排列.其排列种数为
![]()
[环状排列] 从n个不同元素中,每次取出k个元素,仅按元素之间的相对位置而不分首尾地围成一圈,这种排列法称为环状排列.其排列种数为
![]()