4.数值导数

当函数用图形或表格给出时,就不可能用定义求出它的导数,只能用近似方法求数值导数.

[图解微分法适用于用图形给出的函数求导数,例如机械设计中已知st,at图等,其基本步骤如下:

(1)        将原坐标系Oxy沿y轴负方向平移一段距离得坐标系 (5.4).

5.4

(2)  过曲线y=f(x)上点M1(x1,y1)作切线M1T1 .在坐标系,过点P(1,0)PQ1平行于M1T1y轴于点Q1 ,那末点Q1 ()的纵坐标就是导数.Q1的纵坐标为纵坐标,x1为横坐标作出点.

(3)  在曲线y=f(x)上取若干个点,在曲线弯曲程度较大处点取得密些.仿上作法,在坐标系内得到相应点,顺次连成光滑曲线,即是导函数的图形.

[差商公式在实用中常使用下列简单的近似公式

,,…,

式中

   =          (函数f (x)在点a的1阶差分)

       (函数f (x)在点a的2阶差分)

 ……………………………………

   (函数f (x)在点ak阶差分)

在函数的数值表中,如果有误差,则高阶差分的偏差较大,所以用以上公式不宜计算高阶导数.

[用插值多项式求数值导数假定已经求出了函数y=f (x)的插值多项式Pn (x),它可以求导,则用近似,

f(x)=Pn(x)+Rn(x)

略去余项,

          

等等.它们的余项相应为,,等等.

应当指出,当插值多项式Pn(x)收敛于f(x), 不一定收敛于f' (x).另外,h缩小时,截断误差减小,但舍入误差却增加,因此,采用缩小步长的方法也不一定能达到提高精度的目的.由于用插值法求数值微分的不可靠性,在计算时,要特别注意误差分析,或者改用其他方法.

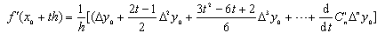
[拉格朗日公式]  (由拉格朗日插值公式得来,见第十七章,§2,)

式中                                

                                    

                                    

     ()

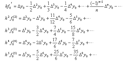
[马尔科夫公式]  (由牛顿插值公式得来,见第十七章,§2,)

                           ()

特别,t = 0,

             

[等距公式]

三点公式

四点公式

五点公式

      

[用三次样条函数求数值导数这个方法能避免用插值法求数值导数的不可靠性.因为对于样条函数(曲线y=f(x)的三次样条函数S(x)的作法见第十七章,§2,),当被插值函数f(x)有四阶连续导数,hi=xi+1xi0,只要S(x)收敛于f(x),则导数一定收敛于,S(x)f(x)=O(H4)O(H3),,其中Hhi的最大值,因此,可直接通过三次样条函数

                                                
            
          

求数值导数得

=

                                             
              
            
                       
                      

式中      ,,  

   若仅求样点xi上的导数,

                   

=

=