4. 三角函数的基本关系和公式
[诱导公式]
三角函数的诱导公式表
| 函数 角 | sin | cos | tan | cot | sec | csc | 
| 
 | 
 | 
 | 
 | 
 | 
 | 
 | 
| 
 | 
 | 
 | 
 | 
 | 
 | 
 | 
| 
 | 
 | 
 | 
 | 
 | 
 | 
 | 
| 
 | 
 | 
 | 
 | 
 | 
 | 
 | 
| 
 | 
 | 
 | 
 | 
 | 
 | 
 | 
| 
 | 
 | 
 | 
 | 
 | 
 | 
 | 
表中n为整数.
[基本关系]
 
         
     
                    
    
 
               
                   
 
          
三角函数的相互关系表
|   | 
 | 
 | 
 | 
 | 
 | 
 | 
| 
 | 
 | 
 | 
 | 
 | 
 | 
 | 
| 
 | 
 | 
 | 
 | 
 | 
 | 
 | 
| 
 | 
 | 
 | 
 | 
 | 
 | 
 | 
| 
 | 
 | 
 | 
 | 
 | 
 | 
 | 
| 
 | 
 | 
 | 
 | 
 | 
 | 
 | 
| 
 | 
 | 
 | 
 | 
 | 
 | 
 | 
例如,若 ,则
,则
[加法公式]


 
 
    

[和差与积互化公式]


[倍角公式]



式中n为正整数.
[半角公式]
下列公式中根号所取符号与等号左边的符号一致.

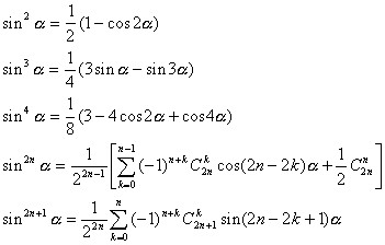
[降幂公式]


以上式中的n为正整数.
[三角函数有限和公式]


